
Mais de 415 mil reais depositados de uma só vez na conta do juiz Mirko Vincenzo Giannotte. A Associação dos Magistrados do Mato Grosso, onde ele atua, tratou logo de justificar.
Disse que Giannotte acumulou a função de juiz de uma instância superior durante anos sem receber a devida remuneração, o que só aconteceu agora, depois que o Conselho Nacional de Justiça autorizou.
O CNJ imediatamente negou a informação. Alegou jamais ter autorizado o pagamento de “valores vultosos” a juiz algum. Houve repercussão na mídia.
O magistrado disse não estar “nem aí”, por considerar-se dentro da lei, a mesma que diz que nenhum juiz poderia ganhar mais do que R$ 33.763,00 mensais.
Mas como disse o presidente da OAB, o teto constitucional no Brasil é uma ficção. É como se a lei não fosse a mesma para todos.
Para obter uma amostra de salários de juízes no Brasil, a reportagem levantou folhas de pagamento dos cinco Tribunais Regionais Federais do país.
Em todas elas, encontrou rendimentos acima do que manda a Constituição:
“A remuneração e o subsídio dos ocupantes de cargos, funções e empregos públicos da administração direta, autárquica e fundacional, dos membros de qualquer dos Poderes da União, dos Estados, do Distrito Federal e dos Municípios, dos detentores de mandato eletivo e dos demais agentes políticos e os proventos, pensões ou outra espécie remuneratória, percebidos cumulativamente ou não, incluídas as vantagens pessoais ou de qualquer outra natureza, não poderão exceder o subsídio mensal, em espécie, dos Ministros do Supremo Tribunal Federal, aplicando-se como limite, nos Municípios, o subsídio do Prefeito, e nos Estados e no Distrito Federal, o subsídio mensal do Governador no âmbito do Poder Executivo, o subsídio dos Deputados Estaduais e Distritais no âmbito do Poder Legislativo e o subsídio dos Desembargadores do Tribunal de Justiça, limitado a noventa inteiros e vinte e cinco centésimos por cento do subsídio mensal, em espécie, dos Ministros do Supremo Tribunal Federal, no âmbito do Poder Judiciário, aplicável este limite aos membros do Ministério Público, aos Procuradores e aos Defensores Públicos”.
No levantamento, a maior incidência de valores acima do teto foi encontrada no sul do país. Dentre eles, está João Pedro Gebran Neto, um dos desembargadores que julgará o recurso de Lula no caso envolvendo o triplex.
O Tribunal Regional Federal da 4ª Região, ao qual pertence o magistrado, costuma divulgar um valor de “retenção por teto constitucional”, que no caso dele teria sido de R$ 6.865,14. Mesmo assim e feitos todos os descontos, o site do TRF4 informa que Gebran recebeu R$ 34.653,20. Mas esse não é dos valores mais “vultosos”.
No Paraná, o juiz federal Marcelo Adriano Micheloti recebeu em julho R$ 92.510,19. Como em grande parte dos casos dos juízes daquele estado, a remuneração mensal gira em torno de R$ 34 mil, sem os descontos. Mas nesse mês o magistrado levou um acréscimo, chamado de “indenização”, de R$ 67.544,28.
Santa Catarina não ficou por menos. O juiz federal João Batista Lazzari recebeu R$ 96.626,41, com “indenização” de R$ 68.221,44. Como eles, outros, pelo menos, 50 colegas do Tribunal Regional Federal da 4ª Região, que compreende os três estados do Sul, ganharam no mês passado mais do que o previsto pelo teto constitucional.
A dificuldade em estabelecer comparações e analisar os dados está na ausência de um padrão no fornecimento dos dados por parte dos Tribunais. Cada região fornece as folhas de pagamento de um modo diferente e nem sempre disponibiliza as mais recentes.
No site do TRF da 2ª Região, do Rio de Janeiro e Espírito Santo, só encontramos folhas de pagamentos do ano passado. Mais “valores vultosos”, superando os do Sul.
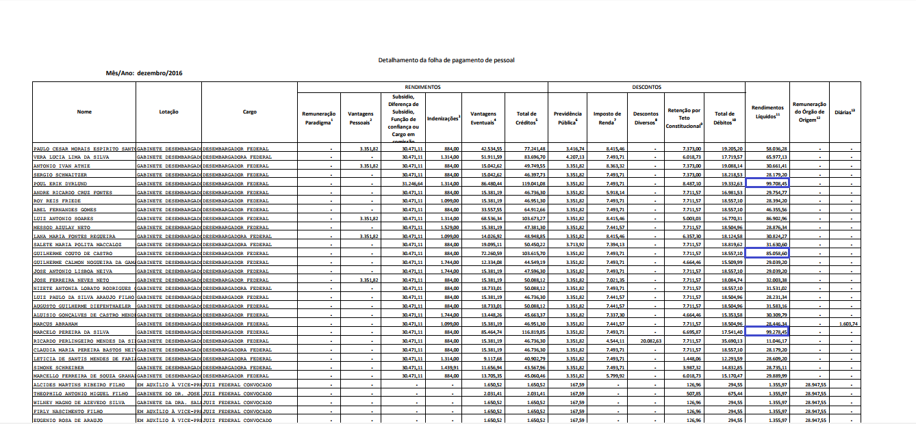
Em dezembro, o desembargador federal Poul Erik Dyrlund teve rendimento líquido de R$ 99.708,45. O que mais pesou no salário foram chamadas “vantagens eventuais” no valor de R$ 86.480,44.
O desembargador Marcelo Pereira da Silva também ganhou bem. Em dezembro, faturou R$ 99.278,45. Seu colega de trabalho Guilherme Couto de Castro não fica muito para trás, com R$ 85.058,60.
Posicionamentos
A nossa reportagem questionou os cinco tribunais regionais federais do país sobre os magistrados que receberam valores acima do teto constitucional.
TRF4
Em nota, o Tribunal Regional Federal da 4ª Região, que engloba os três estados do Sul, nega que as regras do teto constitucional sejam descumpridas. “As eventuais verbas recebidas acima do teto constitucional dizem respeito às exclusões da incidência, previstas no artigo 8º da Resolução nº 13:
Art. 8º Ficam excluídas da incidência do teto remuneratório constitucional as seguintes verbas:
I – de caráter indenizatório, previstas em lei:
a) ajuda de custo para mudança e transporte;
b) auxílio-moradia;
c) diárias;
d) auxílio-funeral;
e) (Revogada pela Resolução nº 27, de 18.12.06)
f) indenização de transporte;
g) outras parcelas indenizatórias previstas na Lei Orgânica da Magistratura Nacional de que trata o art. 93 da Constituição Federal.
II – de caráter permanente:
a) remuneração ou provento decorrente do exercício do magistério, nos termos do art. 95, parágrafo único, inciso I, da Constituição Federal; e
b) benefícios percebidos de planos de previdência instituídos por entidades fechadas, ainda que extintas.
III – de caráter eventual ou temporário:
a) auxílio pré-escolar;
b) benefícios de plano de assistência médico-social;
c) devolução de valores tributários e/ou contribuições previdenciárias indevidamente recolhidos;
d) gratificação pelo exercício da função eleitoral, prevista nos art. 1º e 2º da Lei nº 8.350, de 28 de dezembro de 1991, na redação dada pela Lei nº 11.143, de 26 de julho de 2005;
e) gratificação de magistério por hora-aula proferida no âmbito do Poder Público;
f) bolsa de estudo que tenha caráter remuneratório.
IV – abono de permanência em serviço, no mesmo valor da contribuição previdenciária, conforme previsto no art. 40, § 19, da Constituição Federal, incluído pela Emenda Constitucional nº 41, de 31 de dezembro de 2003.
Parágrafo único. É vedada, no cotejo com o teto remuneratório, a exclusão de verbas que não estejam arroladas nos incisos e alíneas deste artigo”, menciona a nota.
TRF5
O Tribunal Regional Federal da 5ª Região, da área entre Alagoas, Ceará, Paraíba, Pernambuco, Rio Grande do Norte e Sergipe, se posiciona de modo semelhante. Diz que as informações sobre remuneração são constantes em seu site. Afirma zelar para que magistrados e servidores não recebam valores remuneratórios acima do teto constitucional.
Explica que a remuneração deles é composta por “uma parcela fixa de subsídios (Lei nº 10.474/2002) e da Gratificação por Acúmulo de Jurisdição (GAJU), que estão sujeitas ao teto estabelecido no artigo 37, XI, da Constituição Federal”.
Ressalta que a GAJU está prevista na Resolução nº 341/2015, do Conselho da Justiça Federal (CJF) e dispõe sobre a gratificação por exercício cumulativo de jurisdição de que trata a Lei nº 13.093/15, na Justiça Federal de 1º e 2º graus.
Observa, contudo, que o pagamento de indenizações como auxílio-moradia e diárias não está submetido ao valor do teto constitucional.
“O auxílio-moradia é direito estabelecido na Lei Orgânica da Magistratura (Lei Complementar 35/1979, art. 65, II) e regulamentado pela Resolução nº 199/2014 do CNJ, que reconhece sua natureza indenizatória. É valor pago a todos os membros dos Poder Judiciário (ministros, desembargadores e juízes) e do Poder Legislativo e a membros do Tribunal de Contas da União que não disponham de residência oficial”, argumenta.
Explica que alguns magistrados também recebem “o abono permanência, instituído pela Emenda Constitucional 41/2003 e que corresponde ao valor da contribuição previdenciária mensal do servidor que o requerer, desde que tenha cumprido os requisitos para aposentadoria e opte em permanecer em atividade”.
Reconhece que “em determinados meses será possível observar alguns valores que podem elevar a remuneração acima do teto constitucional, considerando antecipação salarial em razão de férias, 13º salário e 1/3 constitucional de férias”.
Afirma, no entanto, que as “antecipações, por sua própria natureza, são deduzidas nos meses subsequentes e os demais valores, segundo interpretação pacífica dos tribunais superiores, são direitos dos trabalhadores e não vantagens pessoais, razão pela qual não são somadas à remuneração mensal para fins de limitação ao teto constitucional”. O TRF5 defende ser favorável à transparência de valores pagos aos integrantes dos três poderes.
Abrangendo o estado de São Paulo e Mato Grosso do Sul, o Tribunal Regional Federal da 3ª Região enviou nota praticamente idêntica.
TRF1
No Tribunal Regional Federal da 1ª Região (norte, Distrito Federal, Bahia, Maranhão, Piauí, Minas Gerais, Mato Grosso e Goiás), encontramos dois juízes que receberam valores acima do teto, Jirair Aram Meguerian (R$ 35.900,01) e João Luiz de Souza (R$ 35.386,50).
O primeiro justificou o valor. Em nota, disse que seus vencimentos de maio incluem “R$10.157,04, além do subsídio normal, referente a 1/3 de adicional de férias, antecipação relativa ao mês de junho”.
Ele reforça que o adicional de férias é para todos, “sejam trabalhadores privados, sejam públicos, tem expressa previsão na Constituição Federal desde 1988”.
“Nos demais meses, excluídos os de férias, recebo dentro dos limites do teto constitucional do subsídio de Ministro do Supremo”, afirma.
O TRF1 não explicou por que não apresenta as folhas de pagamento de junho e julho no mesmo espaço onde estão a de maio e anteriores.
TRF2
O Tribunal Regional Federal da 2ª Região (Rio de Janeiro e Espírito Santo) não se manifestou sobre os casos encontrados acima do teto constitucional.
CNJ
Questionado sobre o tema, o CNJ (Conselho Nacional de Justiça) publicou nota em que a presidente do Conselho, a também ministra e presidente do STF (Supremo Tribunal Federal) Cármen Lúcia, estipula um prazo de dez dias para que todos os tribunais do país enviem cópias das folhas de pagamento aos magistrados, entre janeiro e agosto deste ano, “especificando os valores relativos a subsídio e eventuais verbas especiais de qualquer natureza”.
Informa que, a partir de setembro, os tribunais terão cinco dias depois de pagar os magistrados para divulgar “amplamente” aos cidadãos as cópias das folhas de pagamento.
“A presidência do órgão providenciará a adoção de medidas específicas pela Corregedoria Nacional de Justiça para tomar providências em caso de descumprimento das normas constitucionais e legais em pagamentos realizados sem o fundamento jurídico devido”, afirma.
O TRF5 está providenciando as informações solicitadas pela Ministra Cármen Lúcia.

